A collection of observations and information from 50 years of engineering experience
Articles

Downsizing the pool pump
About four weeks ago our swimming pool pump quit. I don’t know the exact date, but our pool guy, Randy, left us a note. We didn’t see the note, so...
Downsizing the pool pump
About four weeks ago our swimming pool pump quit. I don’t know the exact date, but our pool guy, Randy, left us a note. We didn’t see the note, so...

Horizontal or Vertical?
In selecting a pump for a given application there is sometimes the option of choosing either a vertical or a horizontal shaft pump arrangement. For instance, in a process plant...
Horizontal or Vertical?
In selecting a pump for a given application there is sometimes the option of choosing either a vertical or a horizontal shaft pump arrangement. For instance, in a process plant...

My first WEFTEC
This week I had my first WEFTEC experience. I live in LA and WEFTEC was held at the LA Convention Center, so I drove on over to see the exhibits....
My first WEFTEC
This week I had my first WEFTEC experience. I live in LA and WEFTEC was held at the LA Convention Center, so I drove on over to see the exhibits....

Hypermiling
With fuel prices creeping up again I thought it appropriate to share some of my experiences with hypermiling. “Hypermiling” is a method of increasing your car’s gas mileage by making...
Hypermiling
With fuel prices creeping up again I thought it appropriate to share some of my experiences with hypermiling. “Hypermiling” is a method of increasing your car’s gas mileage by making...

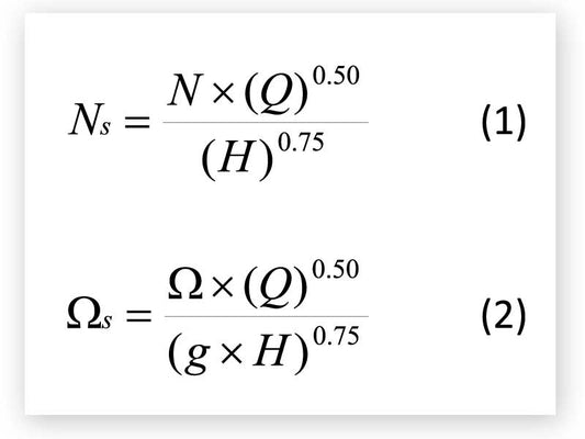
Specific Speed – Does it Matter?
To the pump engineer or pump manufacturer specific speed is terrifically important. To the specifying engineer or user – maybe, maybe not. The term specific speed comes up frequently in...
Specific Speed – Does it Matter?
To the pump engineer or pump manufacturer specific speed is terrifically important. To the specifying engineer or user – maybe, maybe not. The term specific speed comes up frequently in...

Is there any confusion about NPSH?
Net Positive Suction Head (NPSH) is perhaps the most misunderstood concept in pumping technology. The main source of confusion stems from multiple uses of the term in different but related...
Is there any confusion about NPSH?
Net Positive Suction Head (NPSH) is perhaps the most misunderstood concept in pumping technology. The main source of confusion stems from multiple uses of the term in different but related...